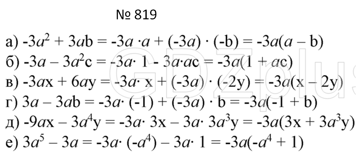
Алгебра 7 класс 819

Алгебра 7 класс 819. Алгебра 7 класс 819. Алгебра 7 класс макарычев номер 819 решение. Алгебра 7 класс 819. Алгебра 7 класс 819.
Алгебра 7 класс 819. Алгебра 7 класс 819. Алгебра 7 класс макарычев номер 819 решение. Алгебра 7 класс 819. Алгебра 7 класс 819.
Гдз алгебра 8 класс макарычев 819. Звавич дидактические материалы по алгебре 7. Дидактические материалы алгебра 7 класс звавич кузнецова суворова. Алгебра 7 класс номер 819. Гдз по алгебре номер 819.
Гдз алгебра 8 класс макарычев 819. Звавич дидактические материалы по алгебре 7. Дидактические материалы алгебра 7 класс звавич кузнецова суворова. Алгебра 7 класс номер 819. Гдз по алгебре номер 819.
Гдз по алгебре 7 класс. Алгебра 7 класс номер 819. Гдз по алгебре 7 класс дидактический материал. Алгебра 7 класс 819. Гдз по алгебре 7 дидактические материалы 7 класс.
Гдз по алгебре 7 класс. Алгебра 7 класс номер 819. Гдз по алгебре 7 класс дидактический материал. Алгебра 7 класс 819. Гдз по алгебре 7 дидактические материалы 7 класс.
Алгебра 7 класс 819. Алгебра 7 класс 819. Алгебра 7 класс 819. Алгебра 7 класс 819. Гдз по алгебре 7 класс макарычев.
Алгебра 7 класс 819. Алгебра 7 класс 819. Алгебра 7 класс 819. Алгебра 7 класс 819. Гдз по алгебре 7 класс макарычев.
Алгебра 7 класс 819. Алгебра 7 класс макарычев 819. Алгебра 7 класс 819. Гдз по алгебре 7 класс дидактический материал звавич кузнецова. Гдз по алгебре 7 класс номер 819.
Алгебра 7 класс 819. Алгебра 7 класс макарычев 819. Алгебра 7 класс 819. Гдз по алгебре 7 класс дидактический материал звавич кузнецова. Гдз по алгебре 7 класс номер 819.
Алгебра 7 класс 819. Алгебра 7 класс 819. Алгебра 7 класс 819. Гдз по алгебре 7 класс номер 819. Гдз алгебра дидактические материалы 7 класс.
Алгебра 7 класс 819. Алгебра 7 класс 819. Алгебра 7 класс 819. Гдз по алгебре 7 класс номер 819. Гдз алгебра дидактические материалы 7 класс.
Алгебра 7 класс номер. Дидактический материал по математике 7 класс кузнецова звавич. Гдз по алгебре 7 класс макарычев номер 819. Алгебра 7 класс 819. Алгебра 7 класс никольский номер 340.
Алгебра 7 класс номер. Дидактический материал по математике 7 класс кузнецова звавич. Гдз по алгебре 7 класс макарычев номер 819. Алгебра 7 класс 819. Алгебра 7 класс никольский номер 340.
Номер 1082. Алгебра 7 класс 819. Алгебра 7 класс 819. Дидактические материалы по алгебре 7 класс звавич. Алгебра 7 класс 819.
Номер 1082. Алгебра 7 класс 819. Алгебра 7 класс 819. Дидактические материалы по алгебре 7 класс звавич. Алгебра 7 класс 819.
Алгебра 7 класс номер 339. Гдз по алгебре 7 класс. Алгебра 7 класс 819. Гдз по математике 7 класс дорофеев алгебра. Алгебра 7 класс макарычев номер 819.
Алгебра 7 класс номер 339. Гдз по алгебре 7 класс. Алгебра 7 класс 819. Гдз по математике 7 класс дорофеев алгебра. Алгебра 7 класс макарычев номер 819.
Алгебра 7 класс макарычев номер 822. Алгебра 7 класс номер 819. Номер 819 по алгебре 7 класс макарычев. Алгебра 7 класс 819. Номер 819 по алгебре 7 класс макарычев.
Алгебра 7 класс макарычев номер 822. Алгебра 7 класс номер 819. Номер 819 по алгебре 7 класс макарычев. Алгебра 7 класс 819. Номер 819 по алгебре 7 класс макарычев.
Алгебра 7 класс 819. Дидактические материалы по алгебре 7 класс звавич. Алгебра 7 класс 819. Алгебра 7 класс макарычев номер 819 решение. Алгебра 7 класс 819.
Алгебра 7 класс 819. Дидактические материалы по алгебре 7 класс звавич. Алгебра 7 класс 819. Алгебра 7 класс макарычев номер 819 решение. Алгебра 7 класс 819.
Алгебра 7 класс макарычев номер 819 решение. Алгебра 7 класс макарычев номер 822. Номер 819 по алгебре 7 класс макарычев. Гдз по алгебре 7 класс номер 819. Гдз по алгебре 7 класс макарычев.
Алгебра 7 класс макарычев номер 819 решение. Алгебра 7 класс макарычев номер 822. Номер 819 по алгебре 7 класс макарычев. Гдз по алгебре 7 класс номер 819. Гдз по алгебре 7 класс макарычев.
Гдз по алгебре 7 класс дидактический материал звавич кузнецова. Алгебра 7 класс 819. Звавич дидактические материалы по алгебре 7. Гдз алгебра дидактические материалы 7 класс. Алгебра 7 класс 819.
Гдз по алгебре 7 класс дидактический материал звавич кузнецова. Алгебра 7 класс 819. Звавич дидактические материалы по алгебре 7. Гдз алгебра дидактические материалы 7 класс. Алгебра 7 класс 819.
Алгебра 7 класс макарычев 819. Алгебра 7 класс 819. Звавич дидактические материалы по алгебре 7. Алгебра 7 класс 819. Алгебра 7 класс 819.
Алгебра 7 класс макарычев 819. Алгебра 7 класс 819. Звавич дидактические материалы по алгебре 7. Алгебра 7 класс 819. Алгебра 7 класс 819.
Гдз алгебра дидактические материалы 7 класс. Гдз по алгебре 7 класс. Алгебра 7 класс 819. Дидактические материалы алгебра 7 класс звавич кузнецова суворова. Алгебра 7 класс номер.
Гдз алгебра дидактические материалы 7 класс. Гдз по алгебре 7 класс. Алгебра 7 класс 819. Дидактические материалы алгебра 7 класс звавич кузнецова суворова. Алгебра 7 класс номер.
Алгебра 7 класс номер 819. Алгебра 7 класс 819. Алгебра 7 класс 819. Алгебра 7 класс номер. Алгебра 7 класс 819.
Алгебра 7 класс номер 819. Алгебра 7 класс 819. Алгебра 7 класс 819. Алгебра 7 класс номер. Алгебра 7 класс 819.
Алгебра 7 класс 819. Гдз по алгебре 7 класс номер 819. Гдз по математике 7 класс дорофеев алгебра. Алгебра 7 класс 819. Алгебра 7 класс 819.
Алгебра 7 класс 819. Гдз по алгебре 7 класс номер 819. Гдз по математике 7 класс дорофеев алгебра. Алгебра 7 класс 819. Алгебра 7 класс 819.
Алгебра 7 класс макарычев номер 819 решение. Гдз по алгебре 7 дидактические материалы 7 класс. Гдз по алгебре 7 класс дидактический материал звавич кузнецова. Алгебра 7 класс 819. Гдз алгебра 8 класс макарычев 819.
Алгебра 7 класс макарычев номер 819 решение. Гдз по алгебре 7 дидактические материалы 7 класс. Гдз по алгебре 7 класс дидактический материал звавич кузнецова. Алгебра 7 класс 819. Гдз алгебра 8 класс макарычев 819.
Алгебра 7 класс 819. Алгебра 7 класс макарычев 819. Алгебра 7 класс 819. Гдз по алгебре 7 класс макарычев. Алгебра 7 класс 819.
Алгебра 7 класс 819. Алгебра 7 класс макарычев 819. Алгебра 7 класс 819. Гдз по алгебре 7 класс макарычев. Алгебра 7 класс 819.
Дидактические материалы алгебра 7 класс звавич кузнецова суворова. Гдз по алгебре номер 819. Алгебра 7 класс 819. Алгебра 7 класс макарычев номер 819. Алгебра 7 класс 819.
Дидактические материалы алгебра 7 класс звавич кузнецова суворова. Гдз по алгебре номер 819. Алгебра 7 класс 819. Алгебра 7 класс макарычев номер 819. Алгебра 7 класс 819.